ContactPost: CIVIL AVIATION AUTHORITY OF MALAYSIA Tel: 6-03-8778 4106 Email: ais@caam.gov.my URL: aip.caam.gov.my | AIP Supplement for Malaysia![]() | AIP SUP 17/26 Effective Date: 19 MAR 2026 Publication Date: 19 MAR 2026 |
1.1 This AIP Supplement is issued to declare the revised Pavement Classification Rating (PCR) for aircraft manoeuvring and movement areas at Kuala Lumpur International Airport (WMKK). The determination and reporting of pavement bearing strength have been conducted in accordance with Civil Aviation Directive - 14 Vol I and ICAO Doc 9157 Aerodrome Design Manual - Part 3 using aircraft experience representing a knowledge of the specific type and mass of aircraft satisfactorily being supported under regular use.:
1.2 The revision involved are as follows:
WMKK AD 2.8 Aprons, Taxiways and Check Locations/Position Data
WMKK AD 2.12 Runway Physical Characteristics
WMKK AD 2.24 Charts Related to an Aerodrome
2.1 WMKK 2.8 APRONS, TAXIWAYS AND CHECK LOCATIONS/POSITION DATA
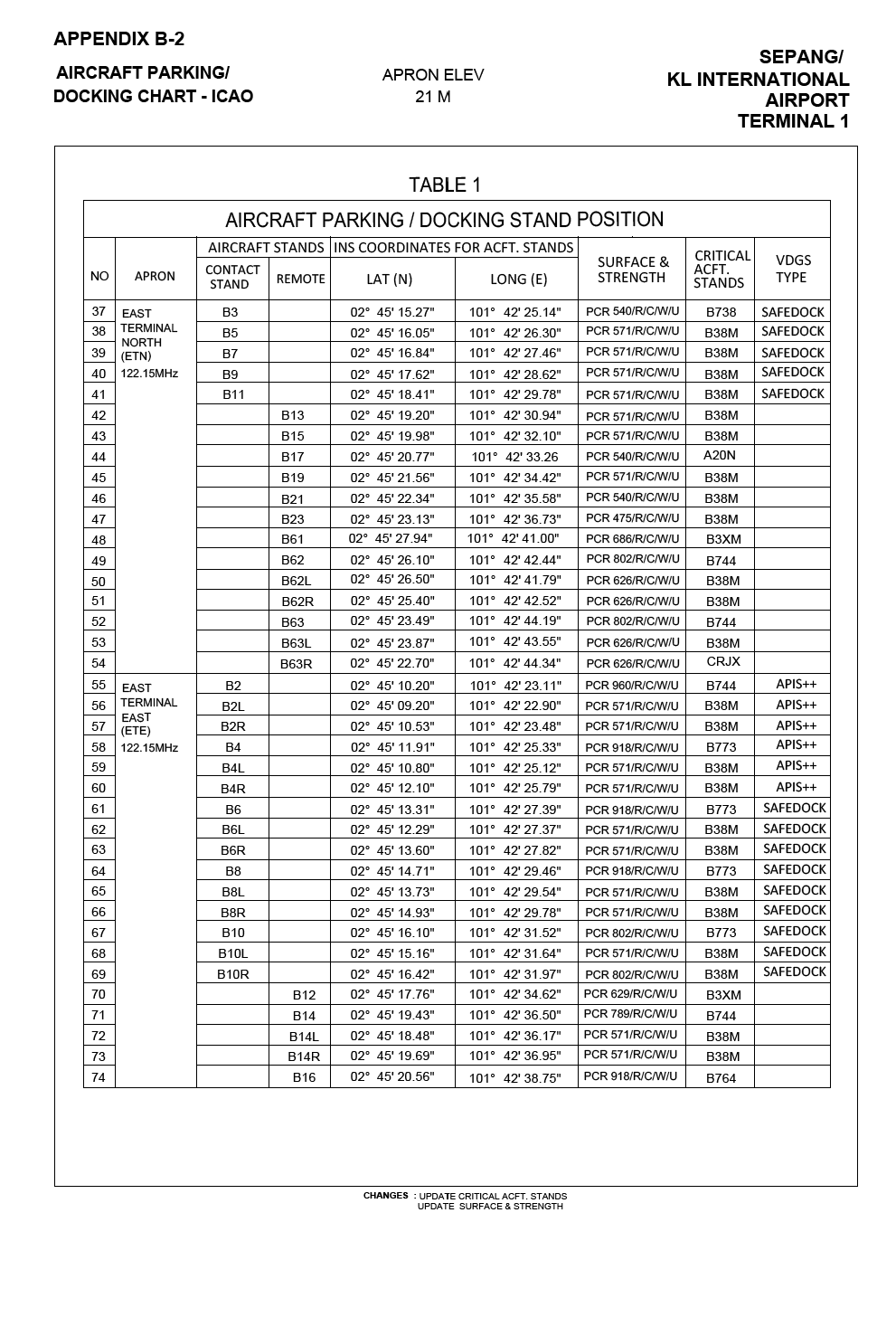
a) Apron surface and strength (WI the areas of RWY 14L/32R and RWY 14R/32L)
| C81 Surface: Concrete (Rigid)Strength: PCR 449 / R / C / W / U | F8L, F8RSurface: Concrete (Rigid)Strength: PCR 465 / R / C / W / U |
| B23Surface: Concrete (Rigid)Strength: PCR 475 / R / C / W / U | F9L, F9R, F10L, F10R, F11L, F11R.Surface: Concrete (Rigid)Strength: PCR 486 / R / C / W / U |
| A14L, A14R, A51, A53R, A54R, B3, B17, B21, B52R, B53L, B53R, C62, C18, C28, F1L, F1R, F2L, F2R, F3L, F3R.Surface: Concrete (Rigid)Strength: PCR 540 / R / C / W / U | F8, F9, F10, F11.Surface: Concrete (Rigid)Strength: PCR 562 / R / C / W / U |
| A7, A9, A11, A13, B5, B7, B9, B11, B13, B15, B19, B2L, B2R, B4L, B4R, B6L, B6R, B8L, B8R, B10L, B14L, B14R, B52L.Surface: Concrete (Rigid)Strength: PCR 571 / R / C / W / U | C83Surface: Concrete (Rigid)Strength: PCR 594 / R / C / W / U |
| B62L, B62R, B63L, B63R, B54L, B54R, C38, C51, C52L, C52R, C6, C11, C13, C21, C23, C72L, C72R, C73L, C73R, C74L, C74R, C33, F4L, F4R, F5L, F5R, F6L, F6R, F7L, F7R, F21L, F21R, F22L, F22R, F23L, F23R, F24L, F24R, F25L, F25R, F26L, F26R, F27L, F27R, F28L, F28R, F29L, F29R, F30L, F30R, F31L, F31R, F32L, F32R, F33L, F33R, F34L, and F34R.Surface: Concrete (Rigid)Strength: PCR 626 / R / C / W / U | A12, B12Surface: Concrete (Rigid)Strength: PCR 629 / R / C / W / U |
| B61Surface: Concrete (Rigid)Strength: PCR 686 / R / C / W / U | A53, A54Surface: Concrete (Rigid)Strength: PCR 777 / R / C / W / U |
| A14, B14Surface: Concrete (Rigid)Strength: PCR 789 / R / C / W / U | A4, B62, B63, B10, B10R, B51, B52, B53, B54, F1, F2, F3, F5, F6, F7.Surface: Concrete (Rigid)Strength: PCR 802 / R / C / W / U |
| A2, A4R, A6, A8, A10, B4, B6, B8, B16, C53.Surface: Concrete (Rigid)Strength: PCR 918 / R / C / W / U | F4Surface: Concrete (Rigid)Strength: PCR 950 / R / C / W / U |
| B2, C7, C52, C61Surface: Concrete (Rigid)Strength: PCR 960 / R / C / W / U | C12R, C16R, C72, C73, C74Surface: Concrete (Rigid)Strength: PCR 977 / R / C / W / U |
| F21, F22, F23, F24, F25, F26, F27, F28, F29, F30, F31, F32, F33, and F34.Surface: Concrete (Rigid)Strength: PCR 1140 / R / C / W / U | A61, C1, C3, C32, C34, C36, C2, C4, C15, C17, C12, C14, C16, C25, C27, C22, C24, C26, C31, C35, C37, C82, C82L, C82R, M1, M2, M3, M4, M5.Surface: Concrete (Rigid)Strength: PCR 1179 / R / C / W / U |
b) Apron surface and strength (WI the areas of RWY 14R/32L and RWY 15/33)
| J1, J3, J5, J7, J9, J11, J13, J15, J17, J2, J4, J6, J8, J10, J12, J14, J16, J18, J20, J22, K22R, K2, K6, K8, K10, K12, K14, K16, K18, P7, P9, P11, P13, P15, P17, P21, P4L, P4R, P6L, P6R, P8L, P8R, P10L, P10R, P12L, P12R, Q3, Q5, Q7, Q9, Q11, Q13, Q15, Q17, Q19, Q21.Surface: Asphalt (Flexible)Strength: PCR 445 / F / D / X / U | K1, K3, K5, K7, K9, K11, K13, K22L, K4, P1, P3, P5, P19.Surface: Asphalt (Flexible)Strength: PCR 590 / F / D / X / U |
| Q1Surface: Asphalt (Flexible)Strength: PCR 651 / F / D / X / U | K20, P2, P12, Q2, Q4, Q6, Q8, Q10, Q12, Q14.Surface: Asphalt (Flexible)Strength: PCR 805 / F / D / X / U |
| Q16, Q18Surface: Asphalt (Flexible)Strength: PCR 909 / F / D / X / U | K24Surface: Asphalt (Flexible)Strength: PCR 955 / F / D / X / U |
| K22, P4, P6, P8, P10Surface: Asphalt (Flexible)Strength: PCR 973 / F / D / X / U |
c) Taxiway width, surface, and strength
| Taxiway A, B, D, F,Apron Taxiway H,Taxiway Intersection B5, C9, H3, H5Width: 25 mSurface: Asphalt (Flexible) Strength: PCR 787 / F / C / W / U | Taxiway Intersection A1Width: 26 mSurface: Concrete (Rigid) : Asphalt (Flexible) Strength: PCR 1179 / R / C / W / U PCR 787 / F / C / W / U |
| Taxiway CTaxiway Intersection A2, A3, C10Width: 26 mSurface: Asphalt (Flexible) Strength: PCR 787 / F / C / W / U | Taxiway Intersection A4, D2, D3, D4, D5, D6, D7, D8, D10, D11, D12Width: 43 mSurface: Asphalt (Flexible) Strength: PCR 787 / F / C / W / U |
| Taxiway Intersection A5Width: 39 mSurface: Asphalt (Flexible) Strength: PCR 787 / F / C / W / U | Taxiway Intersection A6, B14, C5, D1, F1, F2, F3, F4, F5, F6Width: 42 mSurface: Asphalt (Flexible) Strength: PCR 787 / F / C / W / U |
| Taxiway Intersection A7, B7, B13Width: 44 mSurface: Asphalt (Flexible) Strength: PCR 787 / F / C / W / U | Taxiway Intersection A8 Apron Taxiway GWidth: 29 mSurface: Asphalt (Flexible) Strength: PCR 787 / F / C / W / U |
| Taxiway Intersection A10, A11Width: 28 mSurface: Concrete (Rigid) Strength: PCR 1179 / R / C / W / U | Taxiway Intersection B6, B8, B9, B10, B11, B12Width: 44 mSurface: Asphalt (Flexible) Strength: PCR 787 / F / C / W / U |
| Taxiway Intersection C1Width: 27 mSurface: Concrete (Rigid) Asphalt (Flexible) Strength: PCR 1179 / R / C / W / U PCR 787 / F / C / W / U | Taxiway Intersection C2, E3Width: 28 mSurface: Concrete (Rigid) Asphalt (Flexible) Strength: PCR 1179 / R / C / W / U PCR 787 / F / C / W / U |
| Taxiway Intersection C3 & C4Width: 28 mSurface: Asphalt (Flexible) Strength: PCR 787 / F / C / W / U | Taxiway Intersection C6Width: 41 mSurface: Asphalt (Flexible) Strength: PCR 787 / F / C / W / U |
| Taxiway Intersection C7, C8Width: 36 mSurface: Asphalt (Flexible) Strength: PCR 787 / F / C / W / U | Apron Taxiway E, LWidth: 24 mSurface: Concrete (Rigid) Asphalt (Flexible) Strength: PCR 1179 / R / C / W / U PCR 787 / F / C / W / U |
| Taxiway Intersection D13Width: 32 mSurface: Asphalt (Flexible) Strength: PCR 787 / F / C / W / U | Taxiway Intersection E1, E2Width: 39 mSurface: Concrete (Rigid) Asphalt (Flexible) Strength: PCR 1179 / R / C / W / U PCR 787 / F / C / W / U |
| Taxiway Intersection E4Width: 39 mSurface: Concrete (Rigid) Asphalt (Flexible) Strength: PCR 1179 / R / C / W / U PCR 787 / F / C / W / U | Taxiway Intersection E5Width: 24 mSurface: Concrete (Rigid) Asphalt (Flexible) Strength: PCR 1179 / R / C / W / U PCR 787 / F / C / W / U |
| Apron Taxiway KWidth: 25 mSurface: Concrete (Rigid) Asphalt (Flexible) Strength: PCR 1179 / R / C / W / U PCR 787 / F / C / W / U | Apron Taxiway MWidth: 25 mSurface: Concrete (Rigid) Strength: PCR 1179 / R / C / W / U |
| Apron Taxiway M2Width: 25 mSurface: Asphalt (Flexible) Strength: PCR 2420 / F / B / X / T | Taxiway Intersection N1Width: 50 mSurface: Asphalt (Flexible) Strength: PCR 787 / F / C / W / U |
| Taxiway Intersection N2Width: 35 mSurface: Asphalt (Flexible) Strength: PCR 787 / F / C / W / U | Taxiway Intersection P1, P2Width: 25 mSurface: Concrete (Rigid) Strength: PCR 1179 / R / C / W / U |
| Taxiway P (Code C) & Q (Code C)Width: 18 mSurface: Asphalt (Flexible) Strength: PCR 651 / F / D / X / U | Apron Taxiway S1Width: 24.8 mSurface: Concrete (Rigid) Asphalt (Flexible) Strength: PCR 1179 / R / C / W / U PCR 787 / F / C / W / U |
| Apron Taxiway S2Width: 34 mSurface: Concrete (Rigid) Asphalt (Flexible) Strength: PCR 1179 / R / C / W / U PCR 787 / F / C / W / U | Apron Taxiway S3Width: 23 mSurface: Concrete (Rigid) Asphalt (Flexible) Strength: PCR 1179 / R / C / W / U PCR 787 / F / C / W / U |
| Apron Taxiway S4Width: 35.8 mSurface: Concrete (Rigid) Asphalt (Flexible) Strength: PCR 1179 / R / C / W / U PCR 787 / F / C / W / U | Apron Taxiway S5Width: 23 mSurface: Asphalt (Flexible) Strength: PCR 787 / F / C / W / U |
| Apron Taxiway S6, T6Width: 24 mSurface: Asphalt (Flexible) Strength: PCR 787 / F / C / W / U | Apron Taxiway S7Width: 23 mSurface: Concrete (Rigid) Asphalt (Flexible) Strength: PCR 1179 / R / C / W / U PCR 787 / F / C / W / U |
| Apron Taxiway S8Width: 44.5 mSurface: Concrete (Rigid) Asphalt (Flexible) Strength: PCR 1179 / R / C / W / U PCR 787 / F / C / W / U | Apron Taxiway S9Width: 26 mSurface: Concrete (Rigid) Strength: PCR 1179 / R / C / W / U |
| Apron Taxiway S10Width: 42.5 mSurface: Concrete (Rigid) Strength: PCR 1179 / R / C / W / U | Aircraft Stand Taxilane T1, T8, T9Width: 18 mSurface: Concrete (Rigid) : Asphalt (Flexible) Strength: PCR 571 / R / C / W / U PCR 474 / F / C / W / U |
| Apron Taxiway T2Width: 23 mSurface: Concrete (Rigid) : Asphalt (Flexible) Strength: PCR 960 / R / C / W / U PCR 752 / F / C / W / U | Apron Taxiway T3Width: 29 mSurface: Asphalt (Flexible) Strength: PCR 655 / F / C / W / U |
| Apron Taxiway T7Width: 23 mSurface: Concrete (Rigid) : Asphalt (Flexible) Strength: PCR 918 / R / C / W / U PCR 787 / F / C / W / U | Taxiway Intersection C11Width: 26 mSurface: Concrete (Rigid) : Asphalt (Flexible)Strength: PCR 1179 / R / C / W / U PCR 787 / F / C / W / U |
| Taxiway Intersection A9Width: 28 mSurface: Concrete (Rigid) : Asphalt (Flexible)Strength: PCR 1179 / R / C / W / U PCR 787 / F / C / W / U | Apron Taxiway T4Width: 32 mSurface: Concrete (Rigid) : Asphalt (Flexible) Strength: PCR 960 / R / C / W / U PCR 752 / F / C / W / U |
| Apron Taxiway T5Width: 30 mSurface: Concrete (Rigid) : Asphalt (Flexible) Strength: PCR 918 / R / C / W / U PCR 744 / F / C / W / U | Aircraft Stand Taxilane T12Width: 18 mSurface: Concrete (Rigid) Strength: PCR 571 / R / C / W / U |
| Apron Taxiway T13Width: 26 mSurface: Concrete (Rigid) Strength: PCR 1179 / R / C / W / U | Apron Taxiway U3 & U4,Taxiway Intersection U3A, U3B, U3C, U3D, U3E, U3F, Q1, Q2, Q3, Q4.Width: 18 mSurface: Asphalt (Flexible) Strength: PCR 651 / F / D / X / U |
| Aircraft Stand Taxilane U1, U2Surface: Asphalt (Flexible) Strength: PCR 445 / F / D / X / U | Aircraft Stand Taxilane U8, U9Surface: Asphalt (Flexible) Strength: PCR 590 / F / D / X / U |
| Taxiway U6, Apron Taxiway U5, Taxiway Intersection U5A, U5B, U5C, U5D, P (Code E & F), Q (Code E & F)Width: 25 mSurface: Asphalt (Flexible) Strength: PCR 1232 / F / D / X / U | Aircraft Stand Taxilane U7Width: 61 mSurface: Asphalt (Flexible) Strength: PCR 973 / F / D / X / U |
| Taxiway Intersection Y1, Y9Width: 31 mSurface: Concrete (Rigid) Strength: PCR 1179 / R / C / W / U | Taxiway Intersection Y2, Y8Width: 35 mSurface: Concrete (Rigid) Strength: PCR 1179 / R / C / W / U |
| Taxiway Intersection Y3, Y4, Y5Width: 35 m Surface: Asphalt (Flexible) Strength: PCR 1232 / F / D / X / U | Taxiway intersection Y6 & Y7Width: 34 m Surface: Asphalt (Flexible) Strength: PCR 1232 / F / D / X / U |
| Taxiway Intersection Z1Width: 33 mSurface: Asphalt (Flexible) Strength: PCR 1232 / F / D / X / U | Taxiway Intersection Z2, Z3, Z4, Z5, Z6, Z7, Z8Width: 40 mSurface: Asphalt (Flexible) Strength: PCR 1232 / F / D / X / U |
| Taxiway Intersection P3, P4, Q5, Q6, Q7, Taxiway Y & Taxiway ZWidth: 25 mSurface: Asphalt (Flexible) Strength: PCR 1232 / F / D / X / U |
2.2 WMKK AD 2.12 RUNWAY PHYSICAL CHARACTERISTICS
| DesignationsRWY NR | TRUE BRG | Dimensions ofRWY (m) | Strength (PCR) and surface of RWYand SWY | THR coordinatesRWY endcoordinatesTHR geoidundulation | THR elevation andhighest elevation ofTDZ of precision APPRWY |
|---|---|---|---|---|---|
| 1 | 2 | 3 | 4 | 5 | 6 |
| 14R | 146.01° | 4000 x 60 | PCR 1179 / R / C / W / U - 241 m Concrete PCR 787 / F / C / W / U - 3519 m Asphalt PCR 1179 / R / C / W / U - 240 m Concrete | THR coordinates024435.84N1014152.63E RWY end coordinates024247.86N1014305.03E THR geoid undulation-1.5 m | THR:16.5 mTDZ:16.5 m |
| 32L | 326.01° | 4000 x 60 | PCR 1179 / R / C / W / U - 240 m Concrete PCR 787 / F / C / W / U - 3519 m Asphalt PCR 1179 / R / C / W / U - 241 m Concrete | THR coordinates 024247.86N1014305.03E RWY end coordinates024435.84N1014152.63E THR geoid undulation-1.4 m | THR:14.5 m TDZ:14.5 m |
| 14L | 146.01° | 4019 x 60 | PCR 1179 / R / C / W / U - 241 m Concrete PCR 787 / F / C / W / U - 3537 m Asphalt PCR 1179 / R / C / W / U - 241m Concrete | THR coordinates024642.52N1014206.67E RWY end coordinates024454.03N1014319.41E THR geoid undulation-1.5 m | THR:16.6 mTDZ:16.6 m |
| 32R | 326.01° | 4019 x 60 | PCR 1179 / R / C / W / U - 241m Concrete PCR 787 / F / C / W / U - 3537 m Asphalt PCR 1179 / R / C / W / U - 241 m Concrete | THR coordinates024454.03N1014319.41E RWY end coordinates024642.52N1014206.67E THR geoid undulation-1.4 m | THR:21.2 mTDZ:21.2 m |
| 15 | 146.01° | 3960 x 60 | PCR 1179 / R / C / W / U - 550 m Concrete PCR 787 / F / C / W / U - 3410 m Asphalt | THR coordinates024417.57N1014038.97E RWY end coordinates024230.67N1014150.65E THR geoid undulation-1.6 m | THR:8.4 mTDZ:8.4 m |
| 33 | 326.01° | 3960 x 60 | PCR 787 / F / C / W / U - 3410 m Asphalt PCR 1179 / R / C / W / U - 550 m Concrete | THR coordinates024230.67N1014150.65E RWY end coordinates024417.57N1014038.97E THR geoid undulation-1.5 m | THR:8.3 mTDZ:8.3 m |
2.3 WMKK AD 2.24 CHARTS RELATED TO AN AERODROME
| REFERENCE | CHART NAME | PAGE |
|---|---|---|
| APPENDIX A | AERODROME/HELIPORT CHART (WMKK) - ICAO | AD 2-WMKK-2-1 |
| APPENDIX B | AIRCRAFT PARKING/DOCKING CHART (WMKK) - ICAO (KLIA TERMINAL 1) | AD 2-WMKK-2-7 |
| APPENDIX B-1 | AIRCRAFT PARKING/DOCKING CHART (WMKK) - ICAO (KLIA TERMINAL 1) (TABULAR 1) | AD 2-WMKK-2-8 |
| APPENDIX B-2 | AIRCRAFT PARKING/DOCKING CHART (WMKK) - ICAO (KLIA TERMINAL 1) (TABULAR 2) | AD 2-WMKK-2-9 |
| APPENDIX B-3 | AIRCRAFT PARKING/DOCKING CHART (WMKK) - ICAO (KLIA TERMINAL 1) (TABULAR 3) | AD 2-WMKK-2-10 |
| APPENDIX B-4 | AIRCRAFT PARKING/DOCKING CHART (WMKK) - ICAO (KLIA TERMINAL 1) (TABULAR 4) | AD 2-WMKK-2-11 |
| APPENDIX B-5 | AIRCRAFT PARKING/DOCKING CHART (WMKK) - ICAO (KLIA TERMINAL 1) (TABULAR 5) | AD 2-WMKK-2-12 |
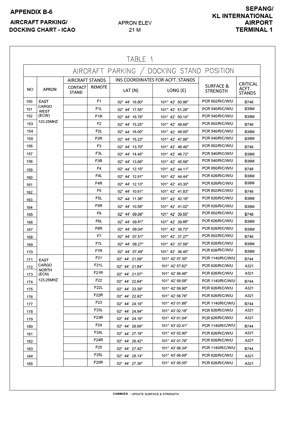
| APPENDIX B-6 | AIRCRAFT PARKING/DOCKING CHART (WMKK) - ICAO (KLIA TERMINAL 1) (TABULAR 6) | AD 2-WMKK-2-13 |
| APPENDIX B-7 | AIRCRAFT PARKING/DOCKING CHART (WMKK) - ICAO (KLIA TERMINAL 1) (TABULAR 7) | AD 2-WMKK-2-14 |
| APPENDIX C | AIRCRAFT PARKING/DOCKING CHART (WMKK) - ICAO - (KLIA TERMINAL 2) | AD 2-WMKK-2-15 |
| APPENDIX C-1 | AIRCRAFT PARKING/DOCKING CHART (WMKK) - ICAO - (KLIA TERMINAL 2) (TABULAR 1) | AD 2-WMKK-2-16 |
| APPENDIX C-2 | AIRCRAFT PARKING/DOCKING CHART (WMKK) - ICAO - (KLIA TERMINAL 2) (TABULAR 2) | AD 2-WMKK-2-17 |
| APPENDIX C-3 | AIRCRAFT PARKING/DOCKING CHART (WMKK) - ICAO - (KLIA TERMINAL 2) (TABULAR 3) | AD 2-WMKK-2-18 |
| APPENDIX D-1 | AERODROME GROUND MOVEMENT CHART - ICAO (TABULAR 1) | AD 2-WMKK-2-22 |
| APPENDIX D-2 | AERODROME GROUND MOVEMENT CHART - ICAO (TABULAR 2) | AD 2-WMKK-2-23 |
| APPENDIX D-3 | AERODROME GROUND MOVEMENT CHART - ICAO (TABULAR 3) | AD 2-WMKK-2-24 |
| APPENDIX D-4 | AERODROME GROUND MOVEMENT CHART - ICAO (TABULAR 4) | AD 2-WMKK-2-25 |
| APPENDIX D-5 | AERODROME GROUND MOVEMENT CHART - ICAO (TABULAR 5) | AD 2-WMKK-2-26 |
| APPENDIX D-6 | AERODROME GROUND MOVEMENT CHART - ICAO (TABULAR 6) | AD 2-WMKK-2-27 |
3.1 Any information or queries to contact:
| (i) Engineering Aerodrome (Senior Manager) | ||
| Name | : | Mohamad Fariz Masir |
| TEL | : | +6017 - 200 9590 |
| : | mfariz@malaysiaairports.com.my | |
| (ii) Engineering Airport Pavement (Manager) | ||
| Name | : | Muhamad Effendi Jaafar |
| TEL | : | +6012 - 369 0877 |
| : | meffendi@malaysiaairports.com.my | |
4.1 This AIP Supplement will remain in force until the information is incorporated in AIP Malaysia. Any updates, changes or cancellation to this supplement will be notified through NOTAM.
4 - END -


















